Skywalker-X5 UAV(Drone) Acoustic Analysis: CFD Simulation by Ansys Fluent
$2,700.00 $1,080.00 HPC
- The problem numerically simulates a Skywalker-X5 UAV using ANSYS Fluent software.
- We design the 3-D model with the Design Modeler software.
- We mesh the model with ANSYS Meshing software. The element number equals 1,195,030 and their type is polyhedra.
- In this simulation, FW_H and BroadBand Noise are used for acoustic modeling.
To Order Your Project or benefit from a CFD consultation, contact our experts via email (info@mr-cfd.com), online support tab, or WhatsApp at +44 7443 197273.
There are some Free Products to check our service quality.
If you want the training video in another language instead of English, ask it via info@mr-cfd.com after you buy the product.
Description
Acoustic Analysis; Skywalker-X5 UAV(Drone) CFD Simulation Training
Introduction
In Skywalker-X5 Drone project, we analyze a Skywalker-X5 Drone acoustically and examine the sources of sound production. We also define receivers around the drone to observe and examine the amount of sound received by the receivers.
The Skywalker-X5 is a small, fixed-wing UAV for use in surveillance, aerial inspection, and surveying tasks. It has a high-quality mapping camera, a hand or catapult lunached, can fly missions independently, and lands with a parachute.
The X5 is a fantastic-looking FPV with a sensible cabin configuration that can accommodate more extensive electric systems. It has a wide range of professional applications and can be incorporated into new industries.
In this simulation, a Skywalker-X5 Drone with one propeller rotating around the horizontal axis is modeled using ANSYS Fluent software. The device is moving at a speed of 60 km/h.
The geometry of the present model is three-dimensional and has been designed using Design Modeler software. We do the meshing of the present model with ANSYS Meshing software. The mesh type is Polyhedra, and the element number is 1,195,030.
Methodology
The topic of acoustics is a very widely used and interesting topic in computational fluid dynamics. In this topic, we deal with waves and consequently with pressure.
For Skywalker-X5 project, we have used two models, BroadBand Noise and Ffowcs Williams and Hawkings (FW_H), and we have explained the settings for both models and examined the differences between the two models. First, we simulated the BroadBand Noise model steady, and after convergence and aerodynamic stability of the problem, we change the solution model to FW_H and perform the solution transient. If we activate the FW_H model from the beginning, we will hardly reach convergence and the solution may even diverge.
In the BroadBand Noise model for Skywalker-X5, we extracted the Acoustic pressure level contour in decibels for the blades and in the FW_H model, we defined 7 receivers around the Skywalker-X5 Drone and extracted the following results:
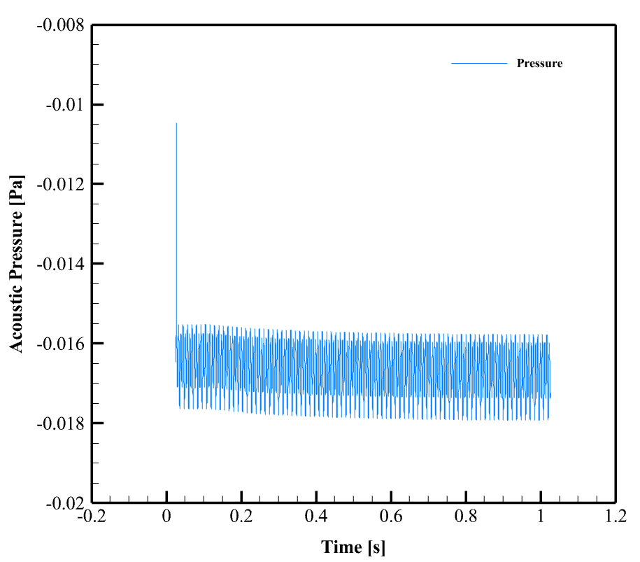
- Acoustic Pressure vs Time: This pressure is actually the acoustic signal calculated from the Ffowcs–Williams–Hawkes (FW–H) equation, which is due to the fluctuations in the flow around the propellers.
- Sound Pressure Level: SPL is the “physical intensity of the produced sound” and is directly proportional to the sound energy, without the interference of the human ear.
- A-Weighted Sound Pressure Level: A-weighting is a filter-like function that simulates the sensitivity of the human ear. Instead of the physical SPL, the sound level in this graph is calculated to represent the “actual loudness perceived by the ear.”
- B-Weighted Sound Pressure Level: The B-weighted filter is weaker than the A-weighted filter and only attenuates a portion of the low frequencies.
- dpdt RMS: The values in this contour indicate the intensity of the time-dependent pressure fluctuations at each point on the surface.
Results
In the BroadBand Noise model for Skywalker-X5, we can observe the Acoustic pressure level contour in decibels. Acoustic Power Level actually represents the sound power produced by the entire or part of the surface of an object and is expressed in decibels (dB). Comparing this contour with the Turbulent intensity contour, we find the similarity between them. In reality, the Acoustic pressure level is calculated and displayed based on the Turbulent Intensity. Therefore, wherever the Turbulent intensity is high, the acoustic pressure is also high.

In the FW_H model for Skywalker-X5, the extracted data for one of the defined receivers can also be viewed.
SPL (Sound Pressure Level) graph is obtained by applying a Fourier transform (FFT) to the time domain signal and shows the noise characteristics in the frequency domain. This plot provides perhaps the most important information about the frequency characteristics of the noise. It shows a very sharp, dominant peak at low frequency (appearing to be around 100-200 Hz or less) with a sound pressure level above +30 dB. This is the Blade Passage Frequency (BPF) and is the main component of tonal noise. This main peak is followed by several other sharp, smaller peaks (BPF harmonics) that rapidly decrease in amplitude.

The graphs below show the sound pressure level in wider frequency bands (octave) and use A and B weighting filters.

A-weighting simulates the human auditory response, meaning it reduces low and very high frequencies to make the graph more consistent with what the human ear hears. B-weighting also simulates the human auditory response, but it provides less reduction at low frequencies than A-weighting and was used more for older measurements. The A-weighted graph starts at very low levels (about -120 dBA) at very low frequencies and increases sharply. It shows a main peak in the lower frequency range (about 200 to 500 Hz) at about +10 dBA. It then gradually decreases or continues at a relatively constant (positive) level up to about 4000 Hz.
The general shape of the B-weighted graph is similar to the A-weighted graph, but the overall values (especially at lower frequencies) are higher. It shows a main peak in the same frequency range (about 200 to 500 Hz), but this peak reaches about +25 dBB, which is significantly higher than the peak in the A-weighted graph. It then gradually decreases and continues at a relatively constant (positive) level up to about 4000 Hz.
Finally, the SPL is the actual sound intensity from the drone, derived from the pressure field calculated by FW–H, the A-weighted SPL (dBA) is the sound level that humans actually hear (the hearing threshold is taken into account), and the B-weighted SPL (dBB) is an approximation of the perceived sound at medium intensities. Comparing these three shows the difference between the physical energy of the sound and the perceived energy; in drones, the lower frequency (BPF) is usually clear in SPL but less so in dBA.
The Acoustic Pressure graphs for Skywalker-X5 show the time variations of the sound pressure ( p’(t) ) at the receiver location. This pressure is actually the acoustic signal calculated from the Ffowcs–Williams–Hawkes (FW–H) equation, which is due to the fluctuations in the flow around the propellers. The graph shows a very sharp negative spike (about -0.010 Pa) at the initial time (around 0 seconds). This may be related to the initial state of the simulation, or the moment the impeller starts moving. Immediately after this spike, the pressure settles into a regular and periodic (sinusoidal) oscillation pattern that oscillates between about -0.015 Pa and -0.017 Pa. These oscillations continue until the end of the simulation time.

The last data that we will discuss in this report is the dpdt RMS contour. The values in this contour indicate the intensity of the time-dependent pressure fluctuations at each point on the surface.

This contour clearly shows the physical sources of noise that lead to the tonal and broadband peaks observed in the frequency domain plots. That is, these pressure fluctuations at the propeller surface propagate sound waves into the environment that we see in the SPL plots.
This description is a brief overview of one of the receivers defined in this project. In the training video of Skywalker-X5 Drone, we analyze and explain the extracted data and compare them with each other in more detail.
You must be logged in to post a review.






Reviews
There are no reviews yet.