Skywalker-X8 UAV(Drone) Acoustic Analysis: CFD Simulation by Ansys Fluent
$2,700.00 $1,080.00 HPC
- The problem numerically simulates a Skywalker-X8 UAV using ANSYS Fluent software.
- We design the 3-D model with the Design Modeler software.
- We mesh the model with Fluent Meshing software. The element number equals 928,595 and their type is polyhedra.
- In this simulation, FW_H and BroadBand Noise are used for acoustic modeling.
To Order Your Project or benefit from a CFD consultation, contact our experts via email (info@mr-cfd.com), online support tab, or WhatsApp at +44 7443 197273.
There are some Free Products to check our service quality.
If you want the training video in another language instead of English, ask it via info@mr-cfd.com after you buy the product.
Description
Acoustic Analysis: Skywalker-X8 UAV(Drone) CFD Simulation Training
Introduction
In Skywalker-X8 Drone project, we analyze a Skywalker-X8 Drone acoustically and examine the sources of sound production. We also define receivers around the drone to observe and examine the amount of sound received by the receivers.
The X-8 was created especially for FPV and UAV, and it was modified for F-Tek stabilization devices.
An incredible looking and flying FPV/UAV platform made of virtually indestructible EPO that has a great design. This type has enormous under-carriage space, exceptional glide performance, and quick low-power cruise speeds.
In this simulation, a Skywalker-X8 Drone with one propeller rotating around the horizontal axis is modeled using ANSYS Fluent software. The device is moving at a speed of 50 km/h.
The geometry of the present model is three-dimensional and has been designed using Design Modeler software. We do the meshing of the present model with Fluent Meshing software. The mesh type is Polyhedra, and the element number is 928,595.
Methodology
The topic of acoustics is a very widely used and interesting topic in computational fluid dynamics. In this topic, we deal with waves and consequently with pressure.
For this project, we have used two models, BroadBand Noise and Ffowcs Williams and Hawkings (FW_H), and we have explained the settings for both models and examined the differences between the two models. First, we simulated the BroadBand Noise model steady, and after convergence and aerodynamic stability of the problem, we change the solution model to FW_H and perform the solution transient. If we activate the FW_H model from the beginning, we will hardly reach convergence and the solution may even diverge.
In the BroadBand Noise model for Skywalker-X8, we extracted the Acoustic pressure level contour in decibels for the blades and in the FW_H model, we defined 7 receivers around the UAV and extracted the following results:
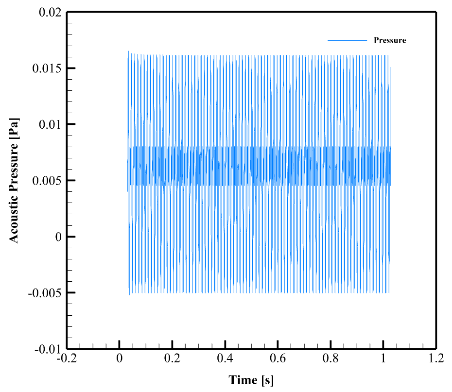
- Acoustic Pressure vs Time: This pressure is actually the acoustic signal calculated from the Ffowcs–Williams–Hawkes (FW–H) equation, which is due to the fluctuations in the flow around the propellers.
- Sound Pressure Level: SPL is the “physical intensity of the produced sound” and is directly proportional to the sound energy, without the interference of the human ear.
- A-Weighted Sound Pressure Level: A-weighting is a filter-like function that simulates the sensitivity of the human ear. Instead of the physical SPL, the sound level in this graph is calculated to represent the “actual loudness perceived by the ear.”
- B-Weighted Sound Pressure Level: The B-weighted filter is weaker than the A-weighted filter and only attenuates a portion of the low frequencies.
- dpdt RMS: The values in this contour indicate the intensity of the time-dependent pressure fluctuations at each point on the surface.
Results
In the BroadBand Noise model for Skywalker-X8, we can observe the Acoustic pressure level contour in decibels. Acoustic Power Level (Lw) actually represents the sound power produced by the entire or part of the surface of an object and is expressed in decibels (dB). Comparing this contour with the Turbulent intensity contour, we find the similarity between them. In reality, the Acoustic pressure level is calculated and displayed based on the Turbulent Intensity. Therefore, wherever the Turbulent intensity is high, the acoustic pressure is also high.

In the FW_H model for Skywalker-X8, the extracted data for one of the defined receivers can also be viewed.
SPL (Sound Pressure Level) graph is obtained by applying a Fourier transform (FFT) to the time domain signal and shows the noise characteristics in the frequency domain. This plot provides perhaps the most important information about the frequency characteristics of the noise. A very sharp and long peak at low frequency (around 150-200 Hz, approximately 40-45 dB) is clearly visible. This is the main tonal noise that was seen as a regular oscillation in the time plot and that caused the peaks in the lower octave bands in the weighted plots.

The graphs below show the sound pressure level in wider frequency bands (octave) and use A and B weighting filters.

A-weighting simulates the human auditory response, meaning it reduces low and very high frequencies to make the graph more consistent with what the human ear hears. B-weighting also simulates the human auditory response, but it provides less reduction at low frequencies than A-weighting and was used more for older measurements. The A-weighting plot shows that most of the sound energy is concentrated in a specific, relatively low frequency range. A clear peak is observed around 100 to 250 Hz (more precisely, in the 125 Hz or 250 Hz octave band), where the sound pressure level reaches about 30 to 35 dBA.
This indicates a strong noise source at these low frequencies. After this peak, the noise level drops sharply and then slowly decreases. Since A-weighting attenuates low frequencies, the presence of a significant peak in this range indicates that the source is producing very strong noise at these frequencies. The B-weighting plot also has a very similar pattern to the A-weighted plot, namely a dominant peak at low frequencies (the same range of 100 to 250 Hz). The difference is that the decibel level at this peak is slightly higher (around 40 dBB). This is completely normal and expected because B-weighting filters out lower frequencies less, so the sound energy in this frequency range is represented more.
Finally, the SPL is the actual sound intensity from the drone, derived from the pressure field calculated by FW–H, the A-weighted SPL (dBA) is the sound level that humans actually hear (the hearing threshold is taken into account), and the B-weighted SPL (dBB) is an approximation of the perceived sound at medium intensities. Comparing these three shows the difference between the physical energy of the sound and the perceived energy; in drones, the lower frequency (BPF) is usually clear in SPL but less so in dBA.
The Acoustic Pressure graphs show the time variations of the sound pressure ( p’(t) ) at the receiver location. This pressure is actually the acoustic signal calculated from the Ffowcs–Williams–Hawkes (FW–H) equation, which is due to the fluctuations in the flow around the propellers. What immediately catches the eye is the strong, almost sinusoidal periodicity of this signal. Regular oscillations with a relatively constant amplitude are observed. This strong periodicity is a clear indication of the presence of a tonal noise source. In other words, one or more dominant and distinct frequencies are produced continuously and with high power.


This contour clearly shows the physical sources of noise that lead to the tonal and broadband peaks observed in the frequency domain plots. That is, these pressure fluctuations at the propeller surface propagate sound waves into the environment that we see in the SPL plots.
This description is a brief overview of one of the receivers defined in this project. In the training video of Skywalker-X8 Drone, we analyze and explain the extracted data and compare them with each other in more detail.
You must be logged in to post a review.






Reviews
There are no reviews yet.