Skywalker_X8 UAV(Drone) FSI Analysis: CFD Simulation by Ansys Fluent
$2,160.00 $1,512.00 HPC
- The problem numerically simulates a Skywalker_X8 UAV using ANSYS Fluent software.
- We design the 3-D model with the SpaceClaim software.
- We mesh the model with Ansys Meshing software. The element number equals 3,872,738 and their type is Tetrahedral.
- In this simulation, Dynamic Mesh is used for FSI modeling.
To Order Your Project or benefit from a CFD consultation, contact our experts via email (info@mr-cfd.com), online support tab, or WhatsApp at +44 7443 197273.
There are some Free Products to check our service quality.
If you want the training video in another language instead of English, ask it via info@mr-cfd.com after you buy the product.
Description
FSI Analysis: Skywalker_X8 Drone CFD Simulation Training
Introduction
FSI simulation involves the interaction between the fluid and the structure. If we only want to consider the effects of the fluid on the structure, we use one-way method, and if we want to consider the effect of the structure on the fluid in addition to the effect of the fluid on the structure, we use two-way method. In this simulation, we have performed a two-way simulation. Previously, we could only run the two-way method in Workbench, but now Fluent software also has this capability. However, if our simulation involves large displacements, it is better to use Workbench because Fluent is not able to accurately analyze large displacements.
The Skywalker_X8 was created especially for FPV and UAV, and it was modified for F-Tek stabilization devices.
An incredible looking and flying FPV/UAV platform made of virtually indestructible EPO that has a great design. This type has enormous under-carriage space, exceptional glide performance, and quick low-power cruise speeds.
In this simulation, a Skywalker_X8 Drone with one propeller rotating around the horizontal axis is modeled using ANSYS Fluent software. The device is moving at a speed of 50 km/h.
The geometry of the present model is three-dimensional and has been designed using SpaceClaim software. We do the meshing of the present model with Ansys Fluent software. The mesh type is Tetrahedral, and the element number is 3,872,738.
Methodology
This study used a steady-state, pressure-based CFD simulation in ANSYS Fluent software to analyze the incompressible flow around a UAV and the fluid-structure interactions. The flow physics was modeled using the k-ω SST turbulence model and a dynamic mesh was also used.
Results and Conclusion
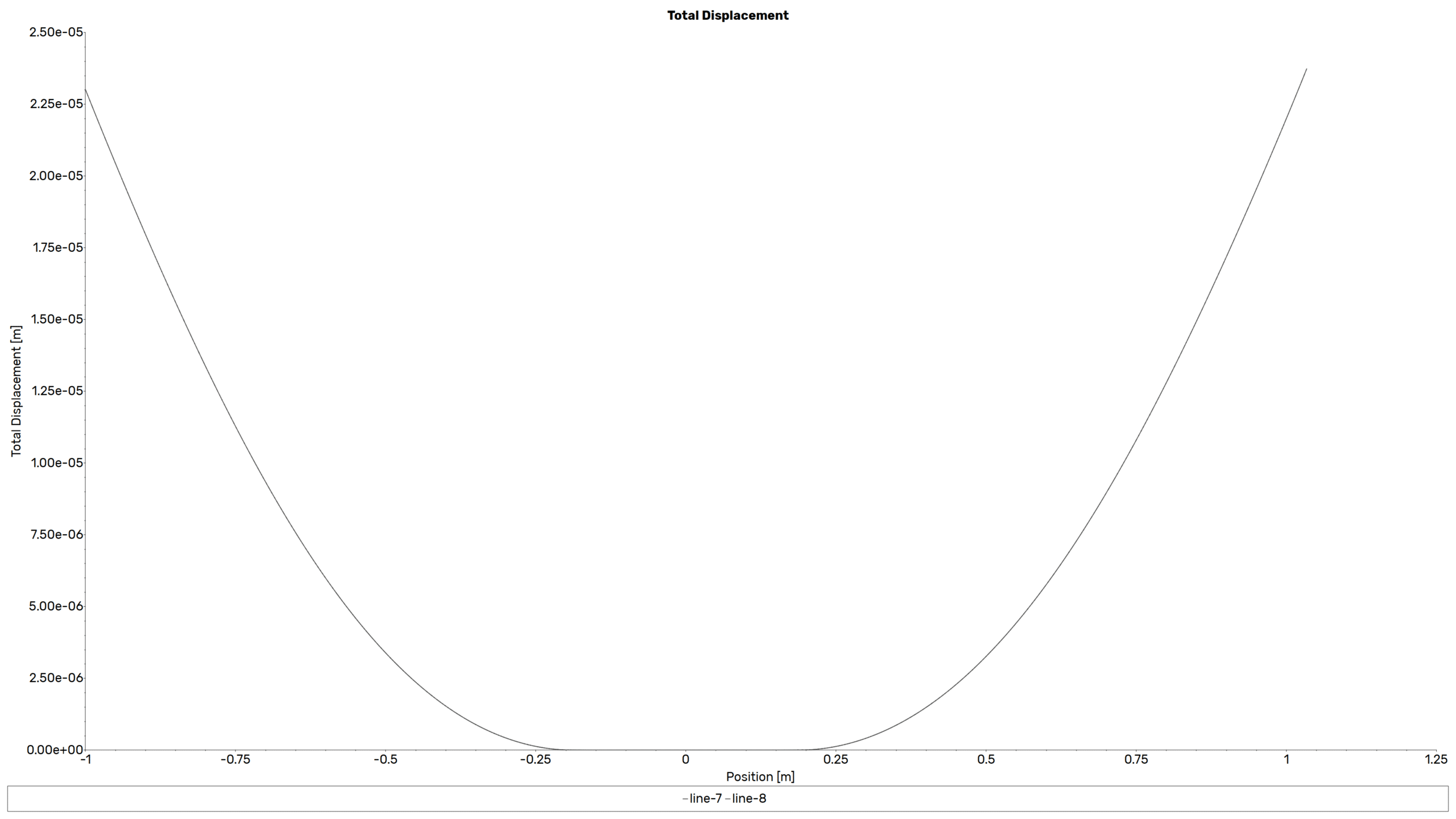
According to the extracted contours, it is observed that, as expected, the greatest displacement occurs at the wing tips of the UAV and the greatest stress is at the wing-body connection.
It is also observed in the graph that the amount of displacement decreases from the wing tips to the body connection and reaches zero at the body. Although the body displacement may sometimes not be zero, its amount is very small and is usually ignored.
You must be logged in to post a review.







Reviews
There are no reviews yet.