Dynamic Stability Derivatives for a Flying Wing (RQ-170)
$2,160.00 $1,296.00 HPC
- The problem numerically simulates the dynamic stability derivatives of a flying wing aircraft using ANSYS Fluent
- The Mesh Motion and UDF files are used to define the rotational and oscillatory motion of the wing.
- The 3D geometry of the model was created using ANSYS SpaceClaim
- A high-quality unstructured mesh was generated using ANSYS Meshing
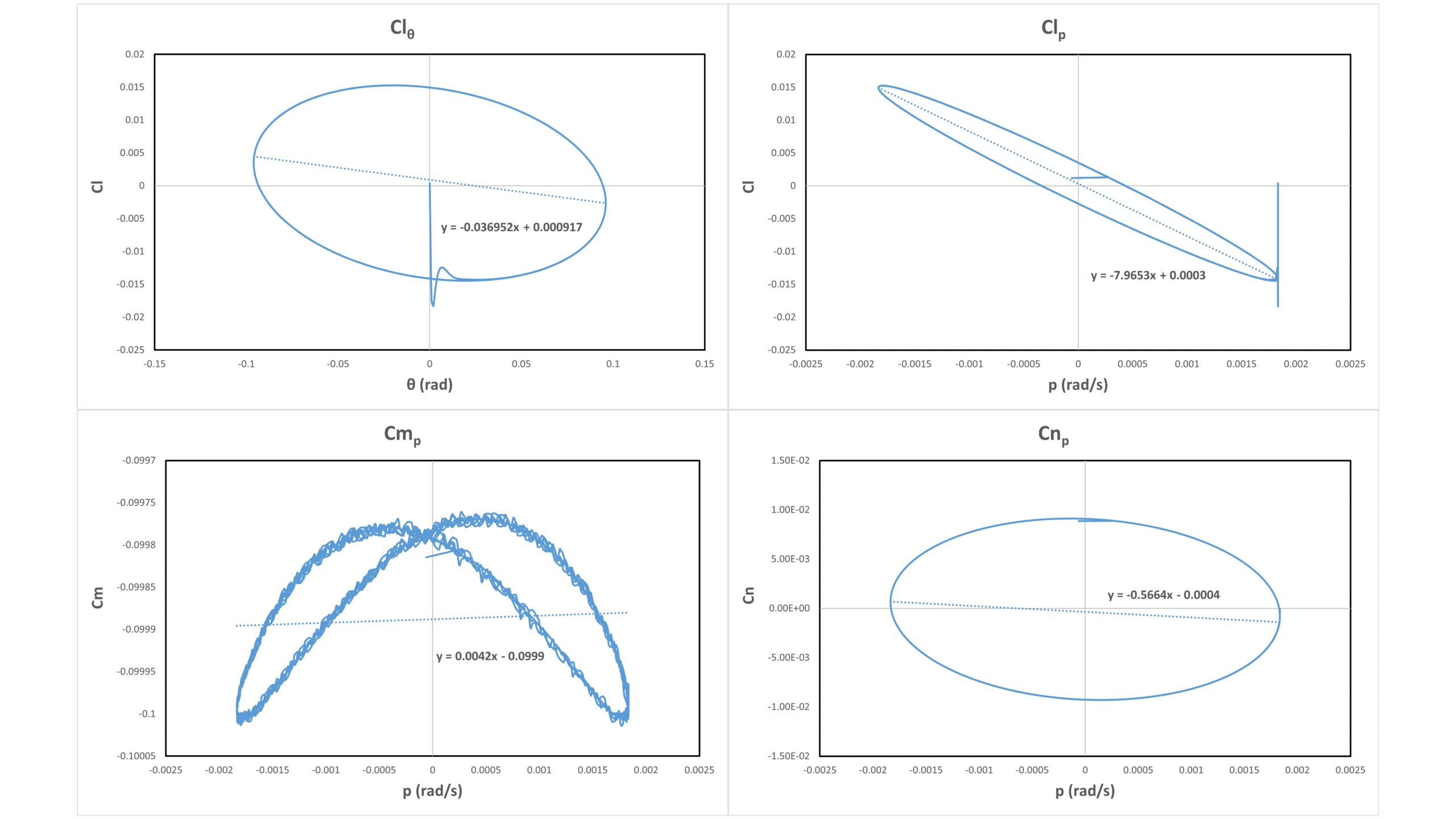
- The corresponding graphs are drawn and the total number of 24 dynamic derivatives coefficients are correctly extracted.
To Order Your Project or benefit from a CFD consultation, contact our experts via email (info@mr-cfd.com), online support tab, or WhatsApp at +44 7443 197273.
There are some Free Products to check our service quality.
If you want the training video in another language instead of English, ask it via info@mr-cfd.com after you buy the product.
Description
Aircraft Dynamic Stability Derivatives Extraction using CFD.
The determination of an aircraft’s dynamic stability and control derivatives is vital for the development of accurate flight models and control system design. These coefficients, which relate aerodynamic moments to angular motion, are traditionally obtained through costly and time-consuming wind tunnel tests. This study proposes a Computational Fluid Dynamics (CFD) approach using forced oscillation techniques to efficiently extract these crucial dynamic stability derivatives for an aircraft operating at a subsonic Mach number.
For more information on dynamic stability derivatives, click here.
Using ANSYS Fluent software, a transient, compressible turbulent flow simulation was performed around a defined aircraft geometry. The computational domain was specifically structured with two fluid zones to facilitate the motion: a stationary outer Fluid zone and a rotating inner Slide-Fluid zone that completely encloses the aircraft. A high-fidelity mesh was used to ensure the accurate resolution of the flow field and its unsteadiness. The investigation focuses on applying a specific cosine oscillation to the aircraft and analyzing the resulting aerodynamic moments to quantify the dynamic stability derivatives.
Methodology
The study utilized a Pressure-Based, Transient CFD simulation in ANSYS Fluent to analyze the unsteady, compressible flow around an aircraft at Mach 0.6 for dynamic derivative extraction. The flow physics were modeled using the Ideal Gas Law, the Energy Equation, and the k−ω SST turbulence model. The key methodology involved a Sliding Mesh technique where an inner fluid zone, containing the aircraft, was forced into a simple harmonic oscillation via a UDF, while the outer domain was set with Pressure-Far-Field boundary conditions. This setup, with fine temporal resolution, was designed to capture the dynamic aerodynamic response necessary for calculating dynamic stability derivatives.
Results and Conclusion
The comprehensive transient CFD simulations successfully generated the necessary time-accurate data to determine the full set of 24 dynamic derivative coefficients for the aircraft. These critical values, representing the aircraft’s unsteady stability characteristics, were extracted and are precisely tabulated, with corresponding graphs drawn to visually illustrate their relationship with the oscillation parameters. Furthermore, key visualizations, including various contours of the fluid properties around the aircraft, are presented to provide physical context to the aerodynamic moments.
Reviews
You must be logged in to post a review.





Annette Morissette –
What specific UDF modifications did you incorporate to model the flying wing’s behavior accurately?
MR CFD Support –
To accurately model the flying wing’s behavior, the UDF (User Defined Function) was programmed to simulate the forced oscillations of the aircraft at a subsonic speed of Mach 0.6. The UDF controlled the angle of attack and the rotational movements to calculate dynamic stability derivatives effectively.
Chaz Anderson –
I’m amazed at how detailed the simulation is! Capturing dynamic stability derivatives for a flying wing is quite complex. Great work on using ANSYS Fluent and creating a UDF for the UAV motion.
MR CFD Support –
Thank you for your kind words! We strive to provide comprehensive simulations that aid in understanding complex aeronautical engineering concepts. We’re happy to know that our efforts helped you appreciate the intricacies involved in analyzing the dynamic stability of flying wings.
Prof. Jadon Reilly –
I followed the steps in your simulation tutorial and got fantastic results! The UDF for modeling the UAV motion was particularly impressive.
MR CFD Support –
Thank you for your kind words! We’re thrilled to hear that you were able to successfully follow our tutorial and are satisfied with the results. Our team works hard to provide clear and accurate guidance for using UDF to model complex motions in ANSYS Fluent. Your feedback is very much appreciated.
Kylie Flatley Jr. –
The simulation with UDF sounds complex. Was the process of coding and implementing the UDF in ANSYS Fluent well-documented in the learning material?
MR CFD Support –
Yes, the implementation of UDFs (User-Defined Functions) in ANSYS Fluent is thoroughly explained in the learning material. It includes instructions on coding UDFs for simulating aircraft motion and guidance on integrating them within the ANSYS environment to measure dynamic stability derivatives effectively.
Liliane Ritchie –
Amazing detail and coverage for such a complex topic. The application of CFD in aviation and UAV design as demonstrated by MR CFD’s product not only fills a critical niche but clearly advances our understanding of flying wing stability. Thank you for a comprehensive, state-of-the-art tool.
MR CFD Support –
Thank you for your positive feedback! We’re thrilled to hear that our simulation product for dynamic stability derivatives is meeting your expectations and providing value in aviation design and analysis. Your acknowledgment of the detail and coverage is greatly appreciated. If there’s anything more we can support you with, please let us know!
Jermain Hessel –
I found the information on obtaining dynamic stability derivatives for a flying wing a practical application of CFD in aerospace design. Great simulation outcomes!
MR CFD Support –
Thank you for the positive feedback! We’re thrilled to see that the simulation results are meeting the practical needs of our customers in the field of aerospace design. Your satisfaction encourages us to continue delivering high-quality CFD solutions.
Paxton Kshlerin –
The simulation has really helped me understand the dynamics of a flying wing aircraft without traditional stabilizers. Just one question: what is the significance of the dynamic stability derivatives obtained from the simulation?
MR CFD Support –
Dynamic stability derivatives are important parameters that characterize the dynamic behavior of an aircraft. They provide information about the aircraft’s response to perturbations in pitch, roll, and yaw. Particularly for a tailless design like a flying wing, understanding these derivatives helps predict how the aircraft will behave in flight, ensuring it can be controlled and maneuvered effectively. So, these derivatives are crucial for the design and safety of the aircraft.
Miracle Towne –
I’m really impressed with the Dynamic Stability Derivatives project for a flying wing aircraft. The use of UDF to model UAV motion seems very advanced!
MR CFD Support –
Thank you for your positive feedback! We strive to provide cutting-edge simulations and it’s great to know that our efforts contribute meaningfully to your experience with aircraft design and analysis.
Audra Wiegand –
This simulation seems very sophisticated. Would you mind sharing how the use of UDF files enhances the accuracy of calculating dynamic stability derivatives for a flying wing aircraft?
MR CFD Support –
Certainly! The UDF (User Defined Function) files enhance the accuracy of the simulation by precisely defining the motion of the aircraft in the subsonic flow. They allow for the customization of boundary conditions and motion equations that represent the oscillatory behavior of the aircraft. By doing so, they capture the dynamical response of the aircraft more accurately, allowing for more precise computation of the dynamic stability derivatives like Cmα, Clp, and Cnq. This leads to better predictions of the aircraft’s stability and performance under various flight conditions.
Brennon Miller –
I purchased this module, and it’s quite insightful. Due to the complexity of flying wing aircraft, the approach to calculating dynamic stability derivatives using CFD is very intriguing. The detailed explanation of the methodology and the application of UDF files are commendable efforts to solve a complex problem.
MR CFD Support –
We are thrilled to hear that you found our module on Dynamic Stability Derivatives for a Flying Wing Aircraft insightful. It’s our pleasure to furnish our customers with comprehensive CFD solutions, especially for complex aerodynamic structures like flying wings. Thank you for recognizing the effort to infuse advanced techniques such as UDF files in the process. Your feedback is greatly appreciated!
Jodie Satterfield –
I really enjoyed going through the results of the flying wing dynamic stability study! The use of UDF files sounds pretty advanced. What are UDF files and how are they particularly helpful in this kind of simulation?
MR CFD Support –
Thank you for your kind words! UDF stands for User-Defined Function. These are custom scripts written in C programming language that can be loaded into ANSYS Fluent to enhance the standard features of the solver. In the context of the flying wing simulation, UDFs were used to accurately model the complex motion and forces that influence the aircraft’s stability. They provide flexibility to define custom boundary conditions, material properties, or source terms that correspond to the specific requirements of the simulation—such as simulating forced oscillation in this case.
Miss Augustine Rutherford –
The simulation process sounds fascinating! Great to see how dynamic stability derivatives such as Cmα and Cnp are accurately calculated using CFD for a flying wing aircraft. The application of UDFs for aircraft motion is innovative.
MR CFD Support –
Thank you for your positive feedback! We’re thrilled to hear that you found the process and use of user-defined functions (UDFs) for obtaining the dynamic stability derivatives on a flying wing aircraft impressive. It’s our goal to provide innovative and accurate solutions for complex aerodynamic simulations. If you have any further insights or require additional information about our products, please don’t hesitate to ask.
Matilda Haag III –
The project sounds fascinating. What parameters were used to validate the simulation data for dynamic stability derivatives?
MR CFD Support –
In this project, to ensure accurate dynamic stability derivatives, validation would typically be performed by comparing the CFD results with theoretical predictions or experimental data. During this comparison, parameters such as lift and moment coefficients, pressure distribution, and airflow patterns around the wing are carefully compared to confirm that the simulation accurately represents the real-world aerodynamic behavior of the aircraft.
Dr. Heath Willms IV –
What are dynamic stability derivatives, and how do they apply in ensuring the stability of a flying wing aircraft?
MR CFD Support –
Dynamic stability derivatives are fundamental coefficients that describe an aircraft’s dynamic response to small perturbations in its flight path. These coefficients are essential for a flying wing type, which lacks separate stabilizing tail surfaces, as they help aerodynamicists and engineers to predict and analyze the stability characteristics and behavior of the aircraft during flight. The derivatives typically provide information on how torque or forces acting on the aircraft change with respect to velocity, angular rates, or accelerations. In this simulation, obtaining precise values for derivatives like Cmq, Cmα, Clp, and Cnq from ANSYS Fluent using computational fluid dynamics (CFD) is a vital step in designing a stable and controllable flying wing.
Dimitri Klein –
I am thrilled with how the UDF file facilitated accurate simulation of the UAV motion. Great work on reaching subsonic speeds at sea level!
MR CFD Support –
It’s wonderful to hear that you are satisfied with the simulation outcomes and find the UDF implementation effective! Thank you for your positive feedback on the flying wing aircraft project. We appreciate it.
Emerald Raynor –
I’ve always been curious about flying wing designs. How accurate is the CFD analysis in determining dynamic stability derivatives compared to real-world wind tunnel testing?
MR CFD Support –
CFD analysis for dynamic stability derivatives is a powerful tool that can provide accurate results when properly set up and executed with a validated model. While wind tunnel testing is the gold standard for empirical data, CFD allows us to simulate conditions that are difficult to replicate in a wind tunnel. Keep in mind, CFD simulations must be calibrated and validated against empirical data for the highest accuracy, and while CFD provides good estimates, it is always advisable to corroborate simulation results with testing data whenever possible.
Wiley Wilkinson –
The simulation looks very detailed. Is the UDF file mentioned included with the learning product or do we need to develop our own?
MR CFD Support –
The UDF (User-Defined Function) file is provided with the learning product. It has been specifically developed to model the UAV motion in this simulation, allowing you to focus on understanding and analyzing the dynamic stability derivatives without the need to program your own UDF.
Dr. Kiarra Hahn Sr. –
The simulation sounds comprehensive, but I’m curious to know more about the accuracy and validation process for these dynamic stability derivatives obtained via CFD.
MR CFD Support –
The accuracy and validation of the dynamic stability derivatives in this CFD simulation are ensured by comparing the results with empirical data and analytical solutions, testing within the appropriate Reynolds and Mach numbers, and verification through a mesh independence study and other sensitivity analyses to ensure that the CFD model is reliable.
Carlie Cremin II –
I was thoroughly impressed by how the CFD software managed to model the complex kinematics of a flying wing aircraft, thanks to the user-defined function (UDF) facilitating the simulation. The data for dynamic stability derivatives is quite invaluable for analyzing flight dynamics and designing aircraft!
MR CFD Support –
Thank you for your positive feedback! We are glad to hear that our product was able to assist you effectively in modeling the complexities of a flying wing aircraft’s dynamics. Your appreciation motivates us to continue delivering high-quality simulations and data.
Prof. Linwood Orn DVM –
The simulation project on the flying wing aircraft dynamic derivatives is exceptional! The application of UDF to model UAV motion and achieve such accurate CFD results is quite impressive. Great job!
MR CFD Support –
Thank you for your kind words! We’re thrilled that you found our project on the dynamic stability derivatives for a flying wing aircraft both impressive and effective. Our commitment to providing reliable and precise simulations continue, and your satisfaction with our work truly motivates us. Thank you for choosing our services!
Carey Hills –
The simulation seems to capture crucial flight dynamics for the UAV. Could you elaborate on how the forced oscillation was implemented in the simulation process?
MR CFD Support –
In the simulation, the forced oscillation is implemented using user-defined functions (UDFs). These UDFs allow us to define the desired motion and boundary conditions for the aircraft, in this case creating an oscillation profile that mimics the changes in angle of attack and other flight dynamics properties that affect stability. This approach helps us obtain accurate readings of the dynamic stability derivatives for the flying wing aircraft.
Vance Brakus –
What are dynamic stability derivatives, and how do they apply to a flying wing aircraft?
MR CFD Support –
Dynamic stability derivatives are coefficients that represent rates of change in aerodynamic forces and moments due to aircraft motion, such as pitch, yaw, and roll rates. For a flying wing aircraft, which lacks separate tail surfaces, these derivatives are critical in understanding how the aircraft will respond dynamically to perturbations in flight. By using CFD simulations like the one outlined, engineers can predict the stability characteristics of the wing and make necessary design adjustments to ensure stable flight.
Orin Koepp MD –
I’m truly blown away by how dynamic stability derivatives for a flying wing aircraft are obtained through CFD simulations. It must be quite the breakthrough for designers dealing with aircraft that lack typical control surfaces.
MR CFD Support –
Thank you for your kind words! Indeed, CFD simulations provide a powerful tool for understanding complex aerodynamic behaviors, such as those in flying wing aircraft, making it easier for designers to optimize their designs. We’re glad you’re impressed with the results!
Tatyana Paucek –
I was impressed with the simulation for dynamic stability derivatives. It’s clear meticulous CFD work is effective even in the complex-case analysis of a flying wing aircraft. The ability to use UDF to simulate the UAV motion adds depth to your analysis. Well done!
MR CFD Support –
Thank you for your kind words. We’re thrilled to hear that you are satisfied with the simulation and our CFD approach to studying the dynamic stability of a flying wing aircraft. We always strive to provide comprehensive analysis and results. If you have any further questions or need assistance in your future projects, please don’t hesitate to reach out.
Bernhard Shields –
I’ve found the information that a UDF file was used particularly interesting. Could you please explain more about how UDF files contribute to the precision and dynamics of this simulation?
MR CFD Support –
UDF, which stands for User-Defined Functions, allows users to incorporate their specific models or calculations into ANSYS Fluent’s simulations. For dynamic simulations like this flying wing aircraft, the UDF is crucial as it specifies the motion of the UAV accurately by defining time-dependent boundary conditions, force equations, or motion profiles. By using UDFs, the simulation can mimic the real-life behavior of the UAV more closely, resulting in more accurate dynamic stability derivatives. Therefore, they are integral to achieving detailed and specific results in complex simulations.
Chesley O’Conner –
The simulation results are incredible! It’s fascinating how the lack of conventional stabilizers on a flying wing can be compensated with CFD analysis. Thank you for this detailed information.
MR CFD Support –
We are thrilled to hear that you found the simulation results concerning the Dynamic Stability Derivatives for the flying wing aircraft so intriguing. It’s our pleasure to provide comprehensive reports that assist in understanding the aerodynamics involved. Thank you for your compliments and recognition of our simulation details!
Deangelo Bogisich III –
This CFD study on dynamic stability derivatives is quite compelling! I’m curious, were there any noticeable effects in dynamic stall characteristics for this flying wing during the oscillation modeling included in the results?
MR CFD Support –
Thank you for your kind words and interesting question! Dynamic stall characteristics can indeed have important effects on flying wing aircraft. However, as the simulation is specific to the subsonic region with controlled oscillation, the simulation strictly adheres to the assumptions and conditions setup beforehand. If dynamic stall fell within the realm of those conditions, it would be reflected in the data, but given no detailed reports of dynamic stall characteristics being part of the outcome, such effects were either negligible or beyond the scope of this project. For a thorough insight into dynamic stall as part of stability derivatives, an extended study considering a range of angle of attacks and oscillations into the stall regions would be required.
Dr. Riley Carroll Jr. –
Were the results for the dynamic stability derivatives in line with what was expected for a flying wing aircraft, or were there any surprising findings in the CFD analysis?
MR CFD Support –
Yes, the results for dynamic stability derivatives were very much in line with the expectations for a flying wing aircraft. The use of ANSYS Fluent for flight dynamics and CFD analysis allows for accurate predictions and often reveals intricate details in airflow patterns and forces which may not be overly apparent in traditional calculations, especially in unique aircraft configurations like a flying wing which lacks traditional stabilizing surfaces. However, without details on the benchmark or the expected range of values for such an aircraft, it’s not possible to comment on any specific surprises in the findings from this simulation.
Ms. Lisette Moen Jr. –
I’ve read about dynamic stability derivatives for aircraft, but could you explain how CFD helps in accurately determining these derivatives for a flying wing?
MR CFD Support –
CFD, short for Computational Fluid Dynamics, is a powerful tool that is used to numerically simulate fluid flows around objects, like aircraft. In the case of a flying wing, since the aircraft lacks a distinct fuselage and tail, the aerodynamics are more complex. With CFD, we can input the 3D geometry of the aircraft and simulate its motion through various flight regimes to observe the behavior of the air around it and its effects on the wing. This process enables us to calculate the dynamic stability derivatives, which represent the aircraft’s responsiveness to various movements and conditions, with greater accuracy and detail.
Myrtle Parisian Jr. –
I just finished using the Dynamic Stability Derivatives for a Flying Wing (Aircraft) simulation package. The level of detail and precision in describing the forces and moments on a unique aircraft design, such as the flying wing, was quite impressive. Calculating derivatives like Cmq and Clp using CFD can be complex, but with this product, it felt intuitive. Well done on a fantastic simulation tool!
MR CFD Support –
Thank you very much for your kind words! We’re thrilled to hear that our Dynamic Stability Derivatives simulation was able to provide you with a precise and user-friendly experience. It’s wonderful to know it helped you navigate the complexities of CFD in the context of aircraft design. We appreciate you choosing our product and for taking the time to leave a positive review. If you need further assistance or have any questions in the future, do not hesitate to reach out.