Ventilation Analysis Using Forced, Mixed, and Natural Methods for Aerosol Control
$140.00 $84.00 HPC
- Expert-level training package utilizing DPM in ANSYS Fluent, featuring comprehensive analysis of ventilation methods for aerosol control in office environments.
- Focused on understanding airflow patterns and virus dispersion under various scenarios: forced, mixed, and natural ventilation.
- Analyzes mechanical ventilation using fan coil units, neutral ventilation through open windows, and combined mixed ventilation approaches.
- Aimed at researchers and professionals seeking advanced understanding and optimization of ventilation systems for aerosol control in indoor settings.
To Order Your Project or benefit from a CFD consultation, contact our experts via email (info@mr-cfd.com), online support tab, or WhatsApp at +44 7443 197273.
There are some Free Products to check our service quality.
If you want the training video in another language instead of English, ask it via info@mr-cfd.com after you buy the product.
Description
Project Description
The project aims to investigate airflow patterns and understand how infections spread within an office environment. We are going to analyze virus dispersion under different ventilation scenarios:
- The first scenario involves mechanical ventilation using a fan coil unit (Forced Ventilation)
- The second scenario assumes neutral ventilation through open windows (Natural Ventilation)
- The final scenario examines mixed ventilation (Mixed Ventilation)
The main assumptions of the present model are:
- The cooling fans inject cold air with 15K and 4.2m/s velocity magnitude from 4 directions:
- The outdoor temperature is
- 3 employees are infected. The virus particles are modeled by Discrete Phase Model (DPM).
- K-epsilon Realizable model is used to model turbulent effects.
- Lights installed on the ceiling has 473K temperature.
Validation Study:
The validation case with details will be presented. The simulation consists of a room with dimensions of 0.4m * 0.4m * 0.8m (width * height * length) that has one inlet and one outlet, both with the same size of 4cm * 4cm. The inlet velocity is 0.225 m/s. Particles have a diameter of 10 micrometers and the density of the particle material is 1400 kg/m³.The results of the experimental study by Chen et al. will be used to validate the numerical results. You can view this validation product here.
Grid Study:
In the first phase of the project, the grid study is performed to find the optimal mesh grid. In our simulation, because of using Discrete Phase, it is more common to follow the trend of results by a related parameter. In the present study, the Mass in domain is selected. We track mass of the discrete phase during the time after cough in the room.
Three grids are created. Mesh #1 with 16557464 cells, Mesh #2 with 1498482 and Mesh #3 with 816650.
The aerosols mass in domain is tracked during 2 minutes after the cough. As seen in the table, Mesh #1 shows a mass of 0.001143 and 0.00064kg in 1 and 2 minutes after injection. Mesh #2 shows really close results but Mesh #3 has 16 and 20% error compared to Mesh #2. So, Mesh #2 is selected as the final grid.
| 50mm | 140mm | 200mm | |
| #1 | #2 | #3 | |
| 1 minute | 0.001143 | 0.001109 | 0.001287 |
| 2 minutes | 0.00064 | 0.00064 | 0.000771 |
| Errors (%) | -3.05087 | 16.08396 | |
| 0 | 20.60605 |
Results
The cough lasts for 0.5seconds from 3 persons in the classroom. Here are the results of each case are given in the following. After it, we will gather around all the info to come to a conclusion.
The simulation objective is to investigate the effectiveness of different ventilation strategies in reducing aerosol dispersion in the office. The study looks at how the amount of aerosols in the air changes four minutes after coughs and how that changes the comfort inside.
Here is a summary of all cases:
| Case | Volume Temperature (K) |
| Natural Vent | 305 |
| Forced Vent | 297.5 |
| Mixed Vent | 300.2 |
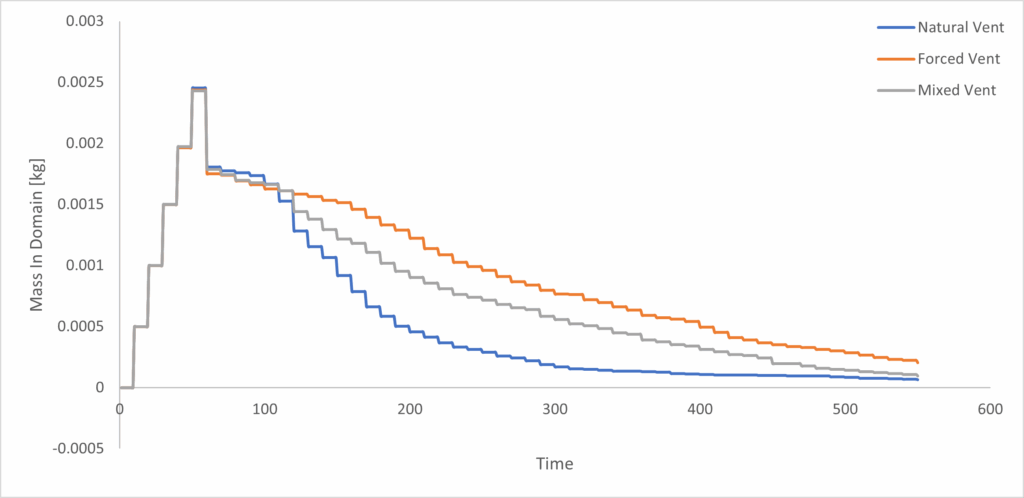
And the plot below represents the mass of aerosol in the domain during time:
In the natural vent case, the temperature inside is the same as the temperature outside, which is 305K. This quickly reduces aerosols because they let a lot of air pass through, but they might be uncomfortable if it’s hot outside. Forced ventilation keeps the temperature inside cooler, at 297.5K, which makes it more comfortable, but because there is less air flow, aerosols are removed more slowly. A mild temperature of 300.2K is reached with mixed ventilation, which balances temperature and aerosol reduction without fully improving either.
The simulations show that natural airflow is the best way to lower the amount of aerosols over time. This happens because the air exchanges well with the outside, which spreads aerosoles out fast. Because it relies on internal circulation, which may hold on to aerosols longer, forced air is not as good. Mixed ventilation works pretty well because it helps with both air flow and exchange, but it’s not great at either one. Pathline contours below show how air moves in the office in each type of airflow situation. Pathlines show strong air flow in natural ventilation, which gets rid of aerosols from the room. Pathlines that look like internal circulation patterns can be seen in forced ventilation. This could mean that aerosols are held for longer amounts of time. Mixed ventilation uses parts of both methods. Pathlines show that aerosols are cleared moderately, and the system benefits from both air exchange and internal movement.
To get the best results for both reducing aerosols and keeping people comfortable, you might want to improve the mixed airflow approach. By changing the fan’s speed or direction, you can get more air flow without sacrificing comfort. Using window holes that can be adjusted is another way to better control the temperature. Adding air filters can make the air quality even better. Smart ventilation systems that change based on real-time data on temperature and air quality can help keep the office at a comfortable temperature and control the spread of aerosols.
———————————————————–
In the final cases, the outdoor temperature is 285.15K. This change in outdoor temp can greatly affect the thermal condition inside the office. So, the aerosol dispersion remains the same. Here are the new contours of temperature inside the office:
In the new condition, volume average temperature inside the room for natural, forced and mixed ventilation cases reported: 286.7K, 296.37K & 292.34K. As discussed before and seen in the contours, the natural ventilation makes a uniform and better pattern of flow from the windows toward the outlet door. This result in better ventilation and thermal condition inside the room. But when the windows are closed and just fans are working, the temperature increases inside and reach 296.3K. Using both windows and fans for ventilation hastens air circulation and decreases temperature. However, the temperature distribution is uniform in all places of the office in Natural and Forced ventilation cases, but in the mixed ventilation case, it is not uniform and some areas are better ventilated than the others.
You must be logged in to post a review.





Reviews
There are no reviews yet.