
Viscous and Inertial Resistances Coefficients
Viscous & Inertial Resistance Coefficients
We must have a laboratory sample of our porous (Porosity) medium to obtain viscous and inertial resistance coefficients. The pressure drop across the porous region at different velocities is measured in the experiment process. Then, we obtain a quadratic graph of the pressure drops in terms of flow velocity for the data we obtain. Now, we can obtain viscous and inertial resistance coefficients according to the comparison with the source equation of pressure resistance.

There is also an alternative to a quadratic function called the Power-law model. According to the mentioned issues in the previous section, we can use an exponential function to fit the curve on the obtained data instead of a quadratic function. Depending on the physical behavior of the porous medium, each of these fits may be more appropriate.
Although a sample should be tested for each medium, but relationships have been presented for a few cases of porous media.
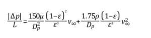
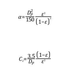
For example, for a packed bed:
For example, for one-millimeter spheres and the porosity coefficient of .5, we get these coefficients:
With these coefficients, we can get the pressure drop for different velocities.
We want to repeat this procedure for the power-law model and calculate the pressure drop in this way. To do this, we fit an exponential graph with the data obtained from the table above to calculate the coefficients.
We do this with Matlab and import these coefficients in ANSYS Fluent software. We set the viscous and inertial coefficients equal to zero and enter the values of C0, C1 in the related section.
Now for the same velocities, we calculate the pressure drop. In the table below, we can see the comparison made between the two models.
It is observed that with increasing the porosity, the pressure drop decreases. As the porosity of the porous medium increases, the area to pass through the fluid also increases, and the fluid can travel more easily and with less pressure drop.
Here is one of the related practical exercises that existed in Learning Products:
Multiphase Flow in Porous Medium, Filter Cake Formation, ANSYS Fluent CFD Simulation Training












Comments (0)