Prandtl-K Macro, UDF, Prandtl number CFD Simulation
$90.00 $54.00 HPC
- The problem numerically simulates the turbulence model using ANSYS Fluent software.
- We design the 2-D model with the Design Modeler software.
- We mesh the model with ANSYS Meshing software, and the element number equals 97,972.
- We use the User-Defined Function (UDF) to define the Prandtl number.
- We use the Prandtl_K Macro for UDF.
To Order Your Project or benefit from a CFD consultation, contact our experts via email (info@mr-cfd.com), online support tab, or WhatsApp at +44 7443 197273.
There are some Free Products to check our service quality.
If you want the training video in another language instead of English, ask it via info@mr-cfd.com after you buy the product.
Description
Description
In this project, we performed a numerical simulation using ANSYS Fluent software’s User-Defined Function (UDF). For this CFD product, we used Prandtl_K Macro to write UDF programming.
This product is the 8th chapter of the User-Defined Function (UDF) Training Course.
We considered a simple channel in which a fluid flows. Inside this channel, we placed some obstacles in fluid flow.
In this situation, turbulence is created in the fluid. So, we have to use turbulence models. For example, in the standard k-epsilon turbulence model, we have to define the Prandtl number for each of the equations of this turbulence model. A Prandtl number is used for the turbulence kinetic energy and dissipation rate equations.
Methodology (UDF)
We modeled the geometry in 2D with Design Modeler software and meshed it with ANSYS Meshing software. Meshing is unstructured, and 97,972 cells are created. We numerically simulated the current model based on the CFD method by ANSYS Fluent software.
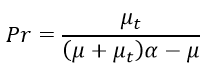
We used the standard k-epsilon model and applied the Prandtl number to each turbulence kinetic energy and energy dissipation rate equation. We can define the Prendtl number as a relation using the User-Defined Function (UDF). We must use the Prandtl Macro (DEFINE_PRANDTL macro) for this UDF. The Prandtl Macro has many applications in simulations. This macro defines the Prandtl number in the equations related to different turbulence models.
In this UDF, we aim to define a function for the Prandtl number based on the alpha value of the RNG turbulence model. We used the standard turbulence model with the RNG turbulence model’s Prandtl value instead of the RNG turbulence model. The Prandtl number relation for turbulence kinetic energy (TKE) and turbulence dissipation rate (TDR) equations are as follows.
Conclusion (UDF)
After completing the calculation, we will review the results. To analyze the results, we obtain some contours and some plots. We performed the simulation in two modes. First, we simulated without defining the Prandtl by UDF. Then, we performed the same simulation using UDF to define the Prandtl number. Using bar graphs, we compared different parameters in two different simulation modes.
Comparing the results shows the difference in the resulting values. The UDF function has worked correctly, and the Prandtl number has been correctly applied to the relevant turbulence equations. Then, we obtained some contours related to turbulence variables and velocity and pressure contours. These contours are also obtained in two modes with UDF and without UDF.
Reviews
You must be logged in to post a review.





Miss Lue Purdy –
I thoroughly enjoyed the practical approach to applying Prandtl number calculations through UDF. It really solidified my understanding of turbulence modeling!
MR CFD Support –
Thank you for your kind words! We are thrilled to hear that our UDF Training Course helped deepen your understanding of turbulence modeling. We strive to provide practical, hands-on learning tools and are glad it made a difference for you.
Deon Baumbach Sr. –
I recently purchased the Prandtl-K Macro, UDF, Prandtl number CFD Simulation product and learned a lot! The way the UDF was explained and implemented was super clear and concrete. Big thanks for such a well-prepared training course!
MR CFD Support –
Thank you very much for your kind words. We’re delighted to hear that the product has contributed positively to your understanding of UDFs and CFD simulation. We always strive to provide clear and comprehensive learning materials, and we’re glad that we could meet your expectations!
Colleen Schultz –
The results in the two simulation modes are claimed to be different. Could you please detail how the definition of the Prandtl number through UDF affected the simulation outcomes compared to not defining it via UDF?
MR CFD Support –
The difference in results stems from how the Prandtl number is applied in the turbulence equations, which affects the transport of turbulence properties like turbulent kinetic energy and dissipation rate. With UDF, you have more control over defining the Prandtl number, enabling it to be customized or functionally dependent on specific flow variables. This customization impacts the turbulence characteristics and, consequently, the flow field predictions – leading to potentially improved accuracy in capturing flow features such as turbulence intensity and mixing rates around the obstacles.
Mrs. Jayda Wilderman DVM –
I’m impressed with the UDF application and the comparison of simulations with and without the UDF-defined Prandtl number. Can you elaborate on how the UDF influenced the simulation results?
MR CFD Support –
Thanks for your interest! In the simulation, using the UDF to define the Prandtl number allowed us to apply a specific relation for the turbulence kinetic energy and dissipation rate, which led to more accurate modeling of the turbulence behavior. Comparing simulations with and without the UDF showed differences in values that highlighted the impact of properly setting the Prandtl number within the turbulence models. The contours of turbulence variables, velocity, and pressure exhibited changes reflecting this adjustment, indicating the importance of utilizing UDF for precise control in simulations.
Gregoria Okuneva –
I’m fascinated by the ability to customize simulations with UDF. Could you explain a bit more about how the Prandtl number changes the results in the simulation when the UDF is applied?
MR CFD Support –
Certainly! When the Prandtl number is defined using UDF, it allows for a more accurate description of momentum diffusion compared to thermal diffusion within the turbulence model. By applying the Prandtl number via UDF, the turbulence kinetic energy and dissipation rates adjust according to the new values. This can affect the flow profile and turbulence characteristics, leading to a more precise prediction of velocity gradients, thermal profiles, and shear stresses in the simulated turbulent flow. The changed Prandtl number modifies the transport of turbulence quantities, resulting in potentially different simulation results in terms of flow separation, reattachment points, and overall turbulence intensities.
Deja Wolf –
I’m curious about the results using UDF compared to the ones without UDF. Did the use of UDF to define Prandtl number significantly change the flow characteristics around the obstacles?
MR CFD Support –
The use of a UDF to define the Prandtl number in this simulation allows for more accurate modeling of the energy dissipation and turbulence kinetic energy depending on the conditions in the channel. Compared to the default settings, the UDF approach could lead to different flow characteristics such as altered recirculation zones, pressure drops, and velocity profiles around the obstacles. Such adjustments often result in simulations that more closely resemble the expected physical behavior of the fluid.
Robyn Bashirian –
I completed the Prandtl-K Macro and UDF training and it was fantastic. The way the macros were applied and turbulence models were adjusted using UDFs was clear and concise. It really helped deepen my understanding of turbulence and its effects on simulations.
MR CFD Support –
Thank you for your positive review! We’re happy to know that the Prandtl-K Macro and UDF training course helped enhance your understanding of turbulence modeling and the application of UDFs in ANSYS Fluent. We continue to strive to provide clear and thorough training for our customers and appreciate your recognition. If you ever have any questions or require further training, please don’t hesitate to reach out.
Brant Kassulke –
I have been using the Prandtl-K Macro learning material, and it helped me understand ugDF usage for specifying the Prandtl number in turbulence models. I especially liked the comparative analysis with UDF and without. Thanks for simplifying what seemed like a complex topic!
MR CFD Support –
We’re thrilled to hear that our Prandtl-K Macro material met your expectations and made understanding UDFs in CFD more accessible! Your feedback is greatly appreciated, and we’re glad you found the comparative analysis helpful. Should you have any more questions or need further insights into UDF usage or any other topic, feel free to reach out. Thank you for choosing our learning products!
Shea Hettinger –
This course seems quite advanced. As a beginner in CFD, would you recommend starting with this UDF course, or should I first get familiar with basic simulations without UDF?
MR CFD Support –
For beginners in CFD, it is recommended to start with basic simulation tutorials that do not involve UDF. Gain a solid understanding of the fundamentals of ANSYS Fluent and get comfortable with simple simulations first. After you’ve mastered the basics, gradually progress to more complex features like UDF for advanced customizations within your simulations.
Mable Yundt –
I’m impressed with the unique approach to applying the Prandtl number in various turbulence equations through UDF. The comparison between simulations with and without UDF customization is insightful. Is this Methodology section able to be understood by someone with a basic understanding of CFD?
MR CFD Support –
Thank you for your positive feedback about our product! We strive to ensure our Methodology sections are detailed yet accessible. This particular course is designed to bridge the gap between foundational knowledge and more advanced techniques like UDF. Those with a basic understanding of CFD should find the explanations thorough, yet comprehensible, allowing for a better grasp of such customized simulation approaches. Please feel free to reach out if you need further clarification or assistance!
Mrs. Jennifer Hansen –
I must commend the thoroughness of the chapter 8 lesson! Integrating UDF for Prandtl number manipulation provided deep insight into turbulence modeling. The comparison between simulations with and without UDF was particularly revealing. A stellar training course module indeed!
MR CFD Support –
We truly appreciate your positive feedback on our Prandtl-K macro, UDF course module! It’s rewarding to know that the hands-on experience and the depth of information provided added value to your understanding of turbulence modeling. Thank you for choosing our course, and we hope you’ll find the rest of the modules equally enriching!
Osbaldo Toy –
I used the Prandtl-K Macro UDF training and found the chapter on implementing the Prandtl number with UDF to be very clear. I especially appreciated the graphs comparing simulations with and without the UDF-defined Prandtl number. It helped me understand the impact of changes in turbulence modeling.
MR CFD Support –
Thank you for your positive feedback! We’re glad to hear that the User-Defined Function (UDF) Training Course was clear and helpful for you. Understanding the impact of the Prandtl number on turbulence modeling is crucial, and it’s great to know that our comparative approach with graphs made the concept easier to grasp. If you have any more questions or need further assistance, feel free to reach out. Thank you for choosing our products for your CFD learning needs!