Microchannel Heat Source CFD Simulation, ANSYS Fluent Tutorial
$80.00 $48.00 HPC
- The problem numerically simulates the Microchannel Heat Source using ANSYS Fluent software.
- We design the 3-D model by the Design Modeler software.
- We mesh the model with ANSYS Meshing software.
- The mesh type is Structured, and the element number equals 1500000.
- The Energy Equation is activated to consider heat transfer.
To Order Your Project or benefit from a CFD consultation, contact our experts via email (info@mr-cfd.com), online support tab, or WhatsApp at +44 7443 197273.
There are some Free Products to check our service quality.
If you want the training video in another language instead of English, ask it via info@mr-cfd.com after you buy the product.
Description
Description
In this project, ANSYS Fluent software simulates fluid flow in a microchannel surrounded by a solid copper channel, which has a heat flux wall. We perform this CFD project and investigate it by CFD analysis.
The present model is designed in three dimensions using Design Modeler software. The meshing of the model has been done using ANSYS Meshing software. The mesh type is Structured, and the element number is 1500000.
Microchannel Methodology
Electronic devices with millimeter dimensions constantly need cooling due to their high heat generation rate. Macro heat exchangers and radiators are not efficient enough to cool down these devices, generating heat at megawatts per square meter.
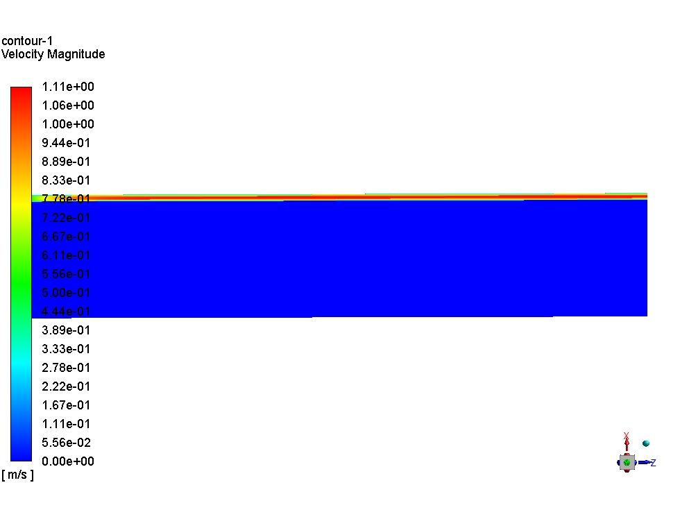
The periodic boundary condition simulates real microchannel geometry at the lowest computational cost. Heat flux on the microchannel wall is equal to 243507.0629 W/m2.
The water flow enters the inlet boundary with a velocity of 0.59 m.s-1 and a temperature of 297K and leaves the computational domain through a pressure outlet boundary. The laminar model and energy equation are enabled to solve fluid equations and calculate temperature distribution, respectively.
Microchannel Conclusion
Finally, the contours related to pressure, velocity, temperature, and velocity vectors are obtained. As is seen in the temperature contour, the water flow has reduced the microchannel temperature indicating its ability to cool down electronic devices.
The heat flux absorbed by the water flow causes its temperature to increase from 297 k on the inlet to 304.64 k on the outlet.
Reviews
You must be logged in to post a review.




Justina Yundt –
Can this simulation be used for academic research?
MR CFD Support –
Absolutely. Our simulations can be a valuable tool for academic research in fields such as heat transfer and fluid dynamics.
Giovanni Ward –
I’m thoroughly impressed with the level of detail in the temperature contour results. It showcased the excellent cooling ability of the water flow in the microchannel. Great job on the simulation accuracy!
MR CFD Support –
We greatly appreciate your feedback on our Microchannel Heat Source CFD Simulation. It thrills us to hear that you recognize the simulation’s precision and find the results valuable. Thank you for your complimentary review!
Gudrun King IV –
The product sounds really informative. The methodology was explained well, and I got a good grasp of how effective microchannels can be for cooling in electronic devices. Great tutorial!
MR CFD Support –
Thank you for your positive feedback! We’re delighted to hear the tutorial’s methodology was clear to you, and that you appreciated learning about the application of microchannels in electronic device cooling. We strive to ensure our materials are both comprehensive and easy to understand. If you have any more questions or need further assistance, please don’t hesitate to reach out!
Kaylin Streich MD –
Wonderful tutorial! The clear steps combined with these results really showcase the benefits of using CFD in microchannel simulations.
MR CFD Support –
Thank you for your positive feedback! We’re glad the tutorial was clear and that the results demonstrated the effectiveness of CFD in thermal management simulations. If you have any more questions or need further assistance, feel free to reach out.
Dr. Henderson Cronin I –
Microchannel worked like a charm. Cool results, temperature dropped exactly as I hoped it would for my electronics cooling project. Kudos to the tutorial details!
MR CFD Support –
Thank you for your kind review! We’re thrilled to hear that the tutorial was helpful for your project and that you achieved the cooling results you were aiming for. If you have any more projects in the future or need further assistance, feel free to reach out to us. Your success is our motivation!
Zena Kerluke –
The Microchannel Heat Source CFD Simulation was illuminating for understanding efficient cooling technologies in electronic devices. The clarity in setting up the model and the detail on the heat flux was particularly helpful.
MR CFD Support –
Thank you for your positive feedback! We’re thrilled to hear that the simulation was informative and that the setup details contributed to a clearer understanding of advanced cooling solutions for electronics. If you have any more queries or need further assistance, feel free to reach out.
Mohammed McClure –
How can I purchase this simulation?
MR CFD Support –
You can purchase our simulations directly from our website, http://www.MR-CFD.com. If you have any questions or need assistance, please feel free to contact us.
Mario Hauck –
The tutorial was really detailed and informative, which helped me to understand the cooling process in microchannels. The contour visuals were especially helpful for comprehending the temperature changes throughout the microchannel.
MR CFD Support –
Thank you so much for your kind words! We are thrilled to hear that the tutorial was able to enhance your understanding of microchannel cooling processes. If there’s anything more we can help you with, please don’t hesitate to reach out. Your satisfaction with our learning materials is very important to us.
Oliver West –
I’m truly impressed by how the microchannel cooled down so efficiently. Learned a lot in terms of heat transfer applications.
MR CFD Support –
Thank you for your kind words! We’re delighted that you found the simulation using ANSYS Fluent both informative and impressive in demonstrating the cooling efficiency of microchannels. It’s great to know the tutorial could enhance your understanding of thermal management in electronic devices!
Mrs. Nikita Jaskolski III –
I’m truly inspired by the quality and detail that went into this simulation. Seeing the temperature reduction in the microchannel shows the meticulous work put into the cooling simulation. Great job!
MR CFD Support –
Thank you so much for your kind words! We’re elated to hear that the Microchannel Heat Source simulation met your expectations and provided clear insights into thermal management. Our team takes great pride in delivering comprehensive and detailed CFD analyses. Your satisfaction validates the effort we put into our projects.
Everett Reinger –
Wow! The results indicating the cooling capacity of water in the microchannel setup are impressive. The heat absorption and the increase in water temperature provide a clear demonstration of the cooling process efficiency for electronic devices.
MR CFD Support –
Thank you for your positive feedback on our microchannel CFD simulation! We’re delighted to hear that you found the demonstration of the microchannel’s cooling efficiency so clear and impressive. Our goal is always to provide informative and accurate simulations to help understand and solve complex engineering challenges. Should you have any more questions or need further assistance, please don’t hesitate to reach out!
Delilah Okuneva –
The Microchannel Heat Source CFD simulation seems like an efficient way to study cooling mechanisms for electronic devices. Can the simulated parameters be easily adjusted to reflect different real-world scenarios such as alternative fluid materials or varying heat flux conditions?
MR CFD Support –
Certainly, the simulated parameters for the Microchannel Heat Source CFD project can be adjusted to reflect a variety of conditions. The material of the fluid, its properties, inlet velocities, temperatures, and the applied heat flux on the microchannel walls are all parameters that can be modified to observe how the cooling process changes under different scenarios. By doing this, one can optimize the cooling strategies for specific operating conditions of electronic devices.
Shirley Hamill –
What kind of post-processing options are available for analyzing the simulation results?
MR CFD Support –
The post-processing options include the visualization of temperature and velocity fields, as well as the calculation of heat transfer coefficients and pressure drops.
Hiram Morar MD –
Loving the level of detail and specificity in the Microchannel CFD Simulation tutorial. The explanation of microchannels for cooling electronic devices was informative and the visuals with the contour analysis were exceptional. Good work making complex concepts clear.
MR CFD Support –
We genuinely appreciate your kind words and are thrilled to hear you found the Microchannel Heat Source CFD Simulation tutorial valuable. Clear, informative, and effective learning materials are our top priority, and we are glad we met your expectations. Thank you for choosing our product, and we look forward to providing you with continued excellent service!
Giovani Beatty –
I was impressed by how efficiently the microchannel reduced temperature in the simulation. Can the obtained data from this project be utilized to improve practical electronic cooling systems?
MR CFD Support –
The computational results of such simulations indeed contribute significantly to understanding and improving real-world cooling system performance. The data can be applied to design more effective microchannel heat exchangers, facilitating enhanced heat dissipation in compact electronic devices.
Otilia Denesik –
I’m amazed by the detail and design that goes into simulating such precise systems! Great work on modeling the cooling process for high heat-generating devices!
MR CFD Support –
Thank you for your kind words! We’re thrilled to hear that you appreciate the precise modeling and simulation work involved in the microchannel heat source project. It’s our goal to provide clear and insightful analysis for complex systems. Your feedback is valuable to us!
Jaida Oberbrunner –
The tutorial helped me understand how high-intensity heat can be managed in small spaces. Quick clarification: is the structured mesh used for this kind of simulation significantly more effective than an unstructured one?
MR CFD Support –
Indeed, a structured mesh like the one used in this simulation tends to provide higher accuracy for problems with regular geometries, such as the simulated microchannel. This is due to the structured grid’s ability to follow the flow streamlines and geometry contours more closely, which is crucial when dealing with thermal analysis and fluid flow in restricted spaces. The hexahedral cells of a structured mesh also help with a more uniform flow field calculation, thereby enhancing the results’ reliability.
Brook Price –
I’m very impressed with the detail provided in the heat absorption process. Is there also data on the improvement of the heat transfer coefficient relating to different flow rates or patterns?
MR CFD Support –
Thank you for the positive feedback! Unfortunately, additional data on the improvement of the heat transfer coefficient with varying flow rates or patterns was not discussed in the provided information. However, such studies typically involve a parametric analysis where one can compare the performance of the microchannel cooling system under those different conditions.
Johnathon Littel –
I’ve followed this tutorial and the results were really impressive! The detailed insights into cooling effectiveness helped me understand microchannel heatsinks better. The temperature contour clearly showed how the heat was transferred. Great job on the clarity and thoroughness of this tutorial!
MR CFD Support –
We appreciate your positive feedback on our Microchannel Heat Source CFD Simulation tutorial! It’s great to hear that our tutorial has enhanced your understanding of microchannel cooling mechanisms and that you found the temperature contours illuminating. If you have any more questions or need further assistance, please do not hesitate to reach out. Thank you for choosing our learning products!
Prof. Jedediah Kulas –
I find this remarkable and very detailed. The temperature reduction demonstrates impressively how efficient the microchannel is for cooling purposes.
MR CFD Support –
Thank you for your positive review! We’re glad to hear that the project’s outcomes provided clear insight into the cooling efficiency of the microchannel design. If you have any further inquiries or need additional information, feel free to reach out.
Gaston Rice III –
The tutorial clearly outlined how microchannels can be effectively used to cool electronic devices, showing real impact on the temperatures. Well done!
MR CFD Support –
Thank you for your positive feedback! We’re thrilled to hear that you found the tutorial insightful and practical for understanding the cooling of electronic devices through microchannels. We strive to provide clear and impactful learning resources, and we appreciate your appreciation very much!